——对于“2020年,中国非化石能源将占一次能源的15%,中国单位GDP的CO2排放量比2005年下降40%~45%”问题的反思



□中国科学院院士何祚庥
这里用了一个似乎“很不合理”的标题,中国的工业化怎么会半途而废?但如果研究一下我国能源发展态势,研究一下有关节能减排的数字,也就是“关于2020年,中国非化石能源将占一次能源的15%,中国单位GDP的CO2排放量比2005年下降40%~45%”中的几个数字,那么就不得不使我们提出中国会不会走向“半个”工业化的质疑!据刊登在2010年1月6日《人民日报》第18版《权威论坛》栏目中的报道:国家发展和改革委员会副主任解振华说,“到2020年……中国的一次能源需求量仍将高达44亿吨标准煤左右”,因而“届时中国非化石能源的总消费需达到6.6亿吨标准煤(注:也就是非化石能源占一次能源的比例是6.6÷44=15%),将比2005年增加5亿吨标准煤,单位GDP的能源消耗将在‘十一五’期间降低20%的基础上,需进一步下降30%左右”。权威论坛栏目中还报道说,这是“长达两年时间,召开几十次论证幸椋征求十几个部门和上百位专家的意见,经过研究和反复科学论证形成”的结果。
问题是:到2008年,中国一次能源的消费已高达29.1亿吨标准煤,而12年后的一次能源仅性龀44.0-29.1=14.9亿吨标准煤!这可能吗?这一“预言”可靠吗?自2001年以来,中国的能源预言家们已多次过低预测“明年”的能源、电力需求量。仅仅由于金融危机的来临,才似乎证实了他们的“预言”。2009年底,中国经济才开始走出“V”型经济的谷底,南方各大城市就又一次“拉闸限电”,又一次发出电煤、天然气短缺的呼声,雪灾会影响“几天”电煤的运送,天然气管道当然是畅通无阻,但也出现短缺!
估计中国发展的未来,中国的GDP仍将以年平均8%~9%的速度上升。中国的一次能源却将以

的速度上升。其相应的能源消费弹性系数将是3.5%/8.0%=0.44,或3.5%/9%=0.39!我们不知道历史上有哪一个大国在走上工业化,尤其是走上重型p业化进程时,会出现如此低的能耗?中国是13亿人口的大国,未来可能是15亿人口的大国。中国未来的15亿人,比8个“G8”国家的总人口还要多出6亿~7亿。中国的工业化将是史无前例的工业化。中国现约有9亿农民,其中约有2亿农民工在城里打工。中国工业化的实现,至少要有80%或7.2p以上的农民走上城市化。一个严峻、现实而又必须科学、准确地回答的问题是:中国当前的工业化,是处在前期、中期,还是后期?据权威论坛上的报道,某专家称:“我国正处于工业化进程的中后期,工业的快速发展对能源需求较大。”问题是:中国现在的工业化进程,从2008年到2020p,能否用“中后期”一词来概括?中国的能源需求“较大”,是否即等同于到2020年将需求44亿吨标准煤!
下面是我们所测算的有关未来能源需求和减排CO2的几个数字。
一个宏伟的“减排”目标
2009年9月22日,胡锦涛主席在联合国气候变化峰会开幕式上发表题为《携手应对气候变化挑战》的讲话,宣布中国将大力推行节能减排技术,“到2020年,中国非化石能源将占一次能源的15%”。2009年11月25日,中央人民政府国务院常务会议又公布了中国碳减排目标——“到2020年,中国单位GDP的CO2排放量比2005年下降40%~45%”。这两者均是极其宏伟的奋斗目标!
其实,这一减少CO2排放的行动,早在2005年已开始推行。《“十一五”规划纲要》曾明确提出,“十一五”期间单位国内生产总0能耗降低20%左右,主要污染物排放总量减少10%的约束性指标。“主要污染物”一词并不包含CO2在内,但是,单位GDP能耗的降低,已意味着CO2的相对排放量将同比下降。
据2009年12月1日《经济日报》报道,由于一系列政策措施的落实,我国节能减排取得明显成效。据统计,“2006年全国单位GDP能耗下降1.79%,2007年下降4.04%,2008年下降4.59%,2009年上半年已完成3.35%,全年将达到5%左右”。“目前累计完成降低能耗13%,已减排CO2量达8亿吨”。(注:新公布的第二次经济普查说,“2008年全国单位GDP能耗比上年下降5.2%”,但累计下降“比2005年下降12.45%”。这一普查数和“报道”有小小的不一致,这里仍取老数字。)《经济日报》还报道说,如果“十一五”期间单位GDP下降20%的总体目标如期实现,减排CO2将达15亿吨。
同一天的《经济日报》还给出一个“单位GDP能耗逐年降低”的示意图:(见图一)
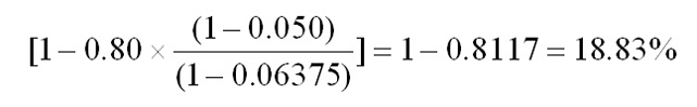
社会公众更希望知道,“如果‘十一五’期间单位GDP能耗下降20%的总目标”确能如期实现,那么明年“节能”的任务有多大?简单的计算表明:0.80=(1-0.0179)×(1-0.0404)×(1-0.0459)×(1-0.05)×(1-2010年单位GDP节能的百分比),所以,2010年单位GDP节能的e分比应为6.375%。
2010年的单位GDP必须节能或减排CO2达6.375%之多,这不是一个容易实现的数字。2009年之所以顺利实现减排5%,部分原因是出现了金融危机,很多企业大e度削减了能源需求。比较现实一点的数字,是2010年仍减排5.0%。如果这一目标确能实现,那么2010年将比2005年减排

虽然这一数字较“减排CO2”20%的目标有一些距离,但是仍然是一项重大B成就。
一个更为艰巨的任务,到2020年单位GDP的CO2比2005年排放量减B40%~45%,这能实现吗?
社会公众更感兴趣的是,由2010年到2020年,人们将怎样实现CO2的排放量比2005年的单位GDP减排40%~45%;或者说,其年平均的CO2的相对排放量是多少。简单的计算表明:
如果2020年比2005年减排40%,同时2010年能比2005年减排18.83%,那么自2010年的单位GDP的CO2年平均减少的排放量=

如果2020年比2005年减排45%,那么自2010年的单位GDP的CO2年平均减少的排放量=

乍一看,这两个数字均小于5%,也小于“十一五”期间年平均减排4.36%的要求,似乎不难做到P不然!这两个数字均是相对量,而更需关注的是2020年CO2减排的绝对量,这涉及中国未来11年的发展,从2009~2020年,中国的GDP和相关的能源需求将以何种速度继续上升?中国未来的GDP上升速度,将可能出现两种前景:一是以年平均8%的速度上升;二是以年平均9%的速度上升。2008年P国的GDP是31.40万亿元。如以年平均8%的速度上升,2020年的GDP将是31.40×(1.08)12=31.40×2.52=79.07万亿元;如以年9%的平均速度上升,将是31.40×(1.09)12=31.40×2.81=88.32万亿元。
对于中国未来能源的需求,也历来有两种不同的观点。一是中国能源界长期所持观点是,中国未来将实现GDP翻两番,而能源翻一番,亦即能源消费弹性系数等于0.50;二是江泽民同志在《对中国能源问题的思考》的长文中说:“一个国家处于工业化前期和中期时,能源消费通常经历一段快速增长期,能源消费上升速度和国民经济增长速度之比,或又称为能源消费弹性系数一般大于1;到了工业化后期或后工业化时期,能源消费弹性系数才有可能小于1。”有大量事实和许多理由来支持江泽民同志提出的,中国正处于工业化的前期、中期,以及未来能源需聪费弹性系数应取为1的论断。我个人也更赞成第二种说法。[注:最近看到一个内部材料,一些搞能源“规划”的“预言家”,又提出到2020年,中国一次能源需求为45亿吨标准煤。其实,如以新公布的2008年一次能源消费为29.1亿吨为基数,如果中国的GDP每年以8%的速度上升,而且能源消费弹性为0.5,由此可算出2020年一次能源是29.1×(1+0.08×0.5)12=46.59亿吨标准煤,如以9%速度上升,将是29.1×(1+0.09×0.5)12=49.35亿吨标准煤。这两者均大于45亿吨标准煤!然而这一能源消费弹性系数会小于0.5的“预言”,会正确吗?以不切实际的“预言”,来估算未来“茨堋薄ⅰ凹跖拧钡钠惹谐潭龋将误导我国工业化的进程。]
下面仅提供由从国家统计局摘出的从2000年到2007年能源消费弹性系数和电力消费弹性系数的简表,来说明未来能源消费弹性系数大体是1.0(见表一)。
这一简表中的GDP用的是不变价格,数值比当年价更低,但相应的电力消费弹性系数均大于1,能源消费弹性系数也在“1”左右徘徊。一蠢此担能源消费弹性系数和电力弹性系数呈正比关系,但统计数据却表现出较大的涨落,这难以理解!由于电力消费总量易于统计,也比较可靠,所以在估计未来11年的发展时,以取能源消费弹性系数为1.0,比较符合客观实际。很难设想,在未来发展中,如果不采取超强不惜工本的“节能”措施,这一能源或电力消费弹性系数会大幅度小于1.0。
2008年,中国能源的消费总量是29.1亿标准煤。未来中国,如果GDP以8%的速率上升,而能源消费弹性系数为1.0,2020年的能源消费量,将是29.1×2.52=73.33亿吨标准煤;如以9%的速度上升,将是29.1×2.81=81.77亿吨标准煤!如果未来中国按照已宣布的减排速度“节能”,将出现下列4种可能出现的能源的削减。
按照不同GDP上升速度,和不同的单位GDP减排率,到2020年相应的碳减排数量=2020年按弹性系数为1.0的碳排放量-2008年碳排放量×(1+GDP上升率)12×(1-年均减排率)12。将各有关数字代入上式,结果见表二。
总之,2020年将要求年减少能耗22亿~30亿吨标准煤之多!折合CO2,其年减排的数额,高达22×44/12=80.66亿吨和30×44/12=110亿吨!
这将是“惊人”的“减排”数字!
我们将怎样通过“超强”节能,来实现量达80亿~110亿吨的CO2的减排?
实现减排的办法有三条:1.大规模退耕还林、植树造林,增加碳的积蓄量;2.大幅度采用先进节能技术,大幅度淘汰低效益、高耗能、高排放的落后产能;3.大力调整能源结构,大力加速发展可再生能源和新能源。
2009年12月18日,温家宝总理在哥本哈根气候大会上作了重要讲话。他说:“中国是世界人工造林面积最大的国家。……2003至2008年森林面积净增2054万公顷,森林蓄积淳辉11.23亿立方米。目前人工造林面积达5400万公顷,居世界第一。”“中国是近年来节能减排力度最大的国家。……2006至2008年共淘汰低能效的炼铁产能6059万吨、炼钢产能4347万吨、水泥产能1.4亿吨、焦炭产能6445万吨。”“中国是新能源和可再生能源增长速度最快的国家。……2005年至2008年,可再生能源增长51%,年均增长14.7%。2008年可再生能源利用量达到2.5亿吨标准煤。农村有3050万户用上沼气,相当于少排放二氧化碳4900多万吨。水电装机容量、核电在建规模、太阳能热水器集热面积和光伏发电产量均居世界第一位。”
这一系列“超强”的节能措施确实取得了成效。温总理指出:“截至今年(2009年)上半年,中国单位GDP能耗比2005年降低13%,相当于少排放8亿吨二氧化碳。”但是,8亿吨CO2的减排,相对于2020年必须P排CO2达80亿~110亿吨的奋斗目标,就是很小的数字。
在上述诸多措施中,最为有力的措施,是关停并转那些低效益、高耗能、高排放的企业。问题是:在我国已连续5年大规P淘汰高耗能、高排放的落后产能的情况下,在今后的10年中,我国还有多少“剩余”落后产能可供淘汰?举例来说,据2009年12月28日《经济日报》报道:“截至2009年底,全国累计关停小火电5545万千瓦,提前一年半实现了‘十一五’关停5000万千瓦小火电机组的任务,每年可节约原煤6404万吨,减少二氧化碳排放1.28亿吨”,“2010年要继续推进电力工业‘上大压小’,全国计划关停小火电机组1000万千瓦”,“目前20万千瓦以下的纯凝火电机组还有8000万千瓦”。
不难设想,这些应关闭的小火电均将陆续关闭。但如以1.28亿(注:CO2的分子量是44,而C的原子量是12)可折合年减排3500万吨标准煤计,所有这些应关闭的火电机组关闭后,总共才年节约3500万×(5000+1000+8000)/5545=8836.8万吨标准煤,仅占2020年所需减排量的1/20~1/30!问题是:今后还有多少落后产能可供关闭?
另一项有力措施,是大规模推进节能技术。举一个例子,我国目前每度电在2005年的平均能耗是360克标准煤,我国新研发建成的超、超临界发电站,每度电能耗是300克标准煤,能耗下降了1/6。我国2008年有火力发电装机约6.0亿千瓦,年发电约45000亿度电,以每度电消耗360克标准煤计,年消耗约16.2亿吨标准煤;姑且认为可能全改为超、超临界发电站,最多也不过节约了16.2/6=2.7亿吨标准煤。
我们当然十分赞成大力增加植树造林,增加碳汇。但2003年,已知“我国森林面积覆盖率已高达18.2%,2004年我国森林‘净’吸了约5亿吨二氧化碳当量,占2004年温室气体排放量的8%;。所以,即使森林覆盖率再增加一倍(不知能否做到?),也不过再“净”吸收1.36亿吨的碳或5亿吨的CO2。
但是,从2005年到2008年,在我国采取了超强节能措施后,毕竟;如温总理讲话所指出的,“相当于少排放8亿CO2”,或已实现碳减排8×12/44=2.18亿吨标准煤。有理由认为这类“超强”节能措施,还会继续坚持下去。
总之,到2020年,如果我们在12年间,继续对各类化石能源的能耗实施各种“超强”节能措施,从2008年到2020年,有可能在已做到减排8亿吨CO2的基础上,再乘上因子5(注:自2005年~2008年已推行“超强”节能3年,今后还要陆续推行12年,所以在估算到2020年“碳”减排时,将乘上因子5),亦即今后12缤ü“超强”节能措施,减少碳排放,约8×5×12/44=10.9亿吨标准煤。因而可将2020年要求“年”减少能耗22亿~30亿吨标准煤的数字,下降到仅要求减排11亿~19亿吨标准煤。但这仍然是十分巨大的“减排”数字!
所以,为要实现2020年减排80亿~110亿吨CO2的目标,除大力采取各种“超强”节能措施外,还必须采取“超强”减排行动。其唯一的可能,是大力调整能源结构,大力发展非化石能源,包括核能、水能、生物质能、风能和太阳能。
我国将怎样采取“超强”减排行动,大力调整能源结构,最大限度地发展“核能+可再生能源”,进一步减排11亿~19亿吨的“碳”排量?
首先,大幅度调整化石能源消费结构。也就是尽可能大幅度进口天然气,进口石油,用天然气和石油取代煤。这是最容易做的事情。当然还需要大幅度增加储气、储油的仓库,增加输送管道。
虽然大幅度增加石油和天然气的进口,均有一定的难度(例如,网上有传说称:印度计划到2031~2032年间进口7.5亿吨石油,现进口约6000万吨石油),仍有可能做到再减排1亿~2亿标准煤。当然我们还应大力增y天然气,开采可能含80%的甲烷的煤层气、页岩气,也许还可开采在青藏高原的可燃冰。
其次,大力发展核能和可再生能源发电。这是当前技术上比较成熟,也是最为有效地实现大规模减排,同时又能充分满足不断快速增长的电力需求的现实途径。其具体措施是:
1.大力发展水能,将经济可开发的约4.0亿千瓦的水能全部开发出来。根据现有水能发电数据,每千瓦装机平均年发电3400小时(注:这是依据现有水电装机和年发电量算出的数字,有些人采用5000小时,这不准确!),4.0亿千瓦将年发电13600亿度电。现有火力发电平均煤耗是0.36公斤/度电(注:有些人计算水能发电节煤数量用的是0.5公斤/度电,这过高估计了水能减排的能力!),因而4亿千瓦的水能,将年减排4.896亿吨标准煤。这将是一个不小的减排数字!问题是现在仅规划开发3.2亿千瓦,将只能减排3.917亿吨标准煤。
2.大力发展核牛力争核能发电达0.75亿千瓦。(注:这并不是很容易达到的数字,我国现掌握的天然铀储量仅能支撑0.50亿千瓦核电站运转40年,需要进口和新发现的天然铀矿藏补充其差额。但直到现在为止,未见拟议中的协定正式签署,但我们还要看到另一种补救的办法,即在压水堆中放置少量钍棒庞锌赡苋〈浓缩铀,多燃烧18%的核燃料。)一个正常运行的核电站,有望年发电7000小时,0.75亿千瓦的核电站将年发电5250亿度电,相当于减排1.89亿吨标准煤。
3.大力发展风能,力争风能装机1亿千瓦。(注:这是风能界提出的装机的预期值,但这一数字并不为电网认同,认为接受如此巨大的“垃圾电”上网,将冲击电网的稳定。)由于风能每千瓦装机年平均仅发电2000小时,所以1亿千瓦的风能仅相当于减排0.72亿吨标准煤。
4.大力发展太阳能。按现有太阳能光伏发电发展规划,其装机将是3000万千瓦的峰值功率,即为0.30亿千瓦。按现有不跟踪的平板式光伏发电技术,将平均年发电1400小时,峰值功率为0.30亿千瓦的装机,平均年发电420亿度电,相当于年减排0.15亿吨标准煤。由于平板式光伏发电技术,从晶体硅到光伏组件的生产,往往耗费不少电能,一般认为其运转寿命可长达25年,有望在2年的时间回收所损耗的电能,所以,实际上减排量是0.15×(1-2/25)亿=0.139亿吨标准煤。然而,这其实是微不道的数字。
5.大力发展生物质能。但要看到生物质能存在转化效率低(注:光伏电池的太阳能转化效率为15%~20%,但生物质能一般只有0.2%),浪费土地,消耗大量水资源和成本高的问题。我个人也支持发展生物质能发电。但要看到当前没有廉价有经济效益的发电方式,而且看不到价格下降的空间,只能作为弥补太阳能、风能发电所固有的间隙性缺点的补充电源。
将上述所有“核能+可再生能源”发电,同时又实现“减排”的数字加起来,共计年节约6.5亿~7.5亿吨标准煤!这一数字不仅距“减排”11亿~19亿吨标准煤的要求,相差甚远,甚至连2020年“非化石能源占一次能源15%”的要求也不能满足!(注:7.5亿/0.15将等于50亿吨标准煤,而6.5/0.15仅等于43.5亿吨标准煤;而按我们的估算,如果GDP以8%~9%的速度上升,在实行“超强”节能措施后的能源需求,最少也要62亿~71亿吨标准煤!)
但是,大力调整能源结构,大力发展“核能+可再生能源”发电,可能将年减排11亿~19亿标准煤的要求,下降到再要求减排4亿~10亿吨标准煤。问题是如何进一步大力加强用可再生能源实施减排的力度。
我国将怎样弥补这一量达4亿~10亿吨碳排放的缺额?
要弥补这一量达4亿~10亿吨碳排放的缺额,必须采取的措施是,大幅度调整现有规划。
第一,将经济可开发的水能资源都开发出来,这将比仅开发经济可开发的80%,再减少1.0亿吨标准煤的排放量。当前发展水电的困难,是极端环保人士、极端生态保护人士的干扰。其实;我国水电的开发水平,远低于各发达国家的开发水平。我国有7亿千瓦的水能资源,技术可开发的是5.4亿千瓦,经济可开发的是4亿千瓦,将经济可开发的4亿千瓦全部开发出来,才占全部水能资源的4/7=57%有什么必要在经济可开发水能的地面,设占地过大的保护区?
当然更具潜力的是下大力气开发资源相对丰富,经济可开发的风能和资源极其丰富的太阳能。
第二,力争风能装机达2亿千瓦。据2010年1月5日《经济日报》报道:中国国家气象局公布我国陆上离地面50米高度达到3级以上风能资源的潜在开发量约23.8亿千瓦;我国5~25米水深线以内近海区域、海平面以上50米高可装机容量约2亿千瓦。所以,风能资源将不成问题。难点S在于“风电场与送出电网建设不同步,目前全国有1/3风机处于空转状态”。缓解这一“空转状态”最为有效的办法是,大力推进智能电网的建设。缓解这一“空转状态”的另一办法是,发展非并网,直接利用直流电的技术。当前矿山、工厂、农村以及南水北调工程中,有许多机械加工作业,如矿石、燃煤的粉碎,秸秆的切割、压制成型,水的提升、运送,不定时的电解工业……是完全可以用风能所发出的“随机”直流电所取代的。这一技术的发展,将完全可能将风能装机从1亿千瓦上升到2亿千瓦,再多减排0.72亿吨标准煤。而且,风力发电成本中有30%是来自并网发电,大力发展风电的非并网的应用,也是降低成本的有效途径。
当前存在的问题是,对于非并网风电的直接利用,缺少政策性鼓励。
第三,采取特殊措施,大力发展太阳能光伏发电,尤其是价廉而物美的“第三代”太阳能光伏发电,“聚光+跟踪+太阳能炼硅+高效聚光晶体硅光电池”的技术。力争到2020年,太阳能光伏发电装机峰值功率也达2亿千瓦。
当前,年发电1400小时和以25年使用寿命计算的平板不跟踪的光伏发电成本已下降到1.0元/度电。而“4倍聚光+跟踪”的光伏发电成本,已下降到0.50元/度电。据2009年12月22日《能源导报》报道:上海电力学院太阳能研究所所长赵春江在自家阁楼上做了“家庭光伏发电厂”的试验。这一家庭发电装机的峰值功率是3千瓦,优化倾角是25度,平均年发电1024.4度,故障率小于0.3%。而如果每3千瓦的安装费是8万元,(由于这是试验,赵春江教授共用了26.2万元,现在按市价可降到8万元),可算出其25年收回成本的电价是1.05元/度电,而上海电价是0.62元/度电。现在全国约有100亿平方米屋顶面积,“4倍聚光+跟踪”的光伏发电技术,可做到每平方米平均有50瓦每平方米的峰值功率。100亿平方米的屋顶面积的一半,将至少能安装峰值功率为2~2.5千瓦的装机。如果每千瓦的装机平均年发电1400小时(注:上海太阳能属三类地区,年平均发电1000小时,如加上“跟踪”,可发电1400小时;在二类地区加上跟踪,可发电2000小时),2.5亿千瓦的装机将年发电0.35万亿度。如以每度电减排0.36公斤标准煤计,将实现年减排1.25亿吨标.煤。
当然,更为重要的是,地处大西北的河西走廊、青藏高原等地区,其太阳能资源十分丰富,属一类地区,是建造大型光伏电站的最佳场所。中国能源问题的最终解决,取.于中国政府将以何种规模、何种速度,在这一区域建设几亿千瓦、甚而是几十亿千瓦“超大型”的光伏电站。现在以25年计的“4倍聚光+跟踪+太阳能炼硅”的光伏发电成本,已下降到0.5元/度电,其单位千瓦的售价已下降到20000元/千瓦。已有大量中间试验证明这一“4倍聚光+跟踪”的光伏发电新技术,不仅已做到1块光电池顶3.3块用,能比不跟踪的平板光伏电池多发出30%~40%的电能,而且在恶劣气候的沙漠地区,能正常可靠地运行,历经狂风、暴雨、冰雹、猛晒、骤冷、沙尘暴的考验而安然无恙。奇妙的是,其聚光漏斗的覆盖面,能自动避免沙尘、霜雪的积累,不需人工清洗。其最重要的成就是研发了廉价、高效而又均匀的散热片。实测证明,加上散热片后的四倍聚光条件下的光电池里硅片的温度,比未聚光的平板式光电池硅片的温度还要低若干度,而愈是在狂风大作的大风天,所发电量就愈多!所以,这一散热片有效地缓解了最为困扰平板光电池,讼炱涫褂檬倜的“热岛”效应。这一新技术的发展,不仅能保证光漏斗使用25年;还有可能在进一步的发展中,大幅度延长光漏斗中光伏电池的使用寿命,使光伏发电机组的使用寿命由通常的25年延伸到40年!
现在需要进一步解决的技术问题是:如何在走向自动化、规模化、效益化的大工业实践中,进一步降低成本,增加发电量,充分发掘这一新技术的潜力。估计在未来的3~5年间,这一“聚光+跟踪”的转盘+“太阳能炼硅”+“高效聚光”晶体硅光电池的新技术路线,将在世界范围内获得迅猛发展。完全可能在不远的将来,将光伏发电成本下降到0.2~0.3元/度电。
也许有人认为上述建设2亿~4亿千瓦的光伏电站的设想太不现实。其实不然,2007年,由于中国政府对风能曾给予了优惠上网电价,2006年中国的风能装机由2.604百万千瓦猛升到6.050百万千瓦,增长率达132%。如果中国到2010年底光伏发电装机是500兆瓦,今后连续10年以132%的速率上升,到2020年将是0.5亿瓦(1+1.32)10=2.26亿千瓦。
关键在于中国政府给光伏发电多少优惠上网电价。
我们为什么主张中国政>给予太阳能发电优惠的上网电价?其实,在2020年以前,即使中国政府采取特殊优惠政策,上述2亿~4亿千瓦的设想,充其量也仅限于“年减排1.25亿~2.50亿吨标准煤”。虽然这一数字也相当重要,但远比不上水能所贡献的碳减排。但如果看到当前世界各国都正在采取强有力措施,大力推>光伏发电,我们也必须顺应时代,不能落后太多!在不久前哥本哈根气候大会上,某些国家联合发布了一个报告。其中宣称:欧盟的太阳能产业机构制定的发展目标是,到2020年,光伏发电累计装机达3.9亿千瓦,投资达1.29万亿欧元,平均每千瓦投资3308欧元;美国的发展目标是,到2020年,光伏发电累计装机达3.5亿千瓦,投资达1.1万亿美元,平均每千瓦投资3143美元……也就是世界各发达国家,纷纷走向光伏发电的大国。而如果再看到2020年后,我国将面临被要求大力减排的“绝对量”的“强大的呼声”;到那时,唯一能大量满足中国能源需求,同时又不排放碳的能0供应,就只有太阳能发电和太阳能供热了。
我们必须“未雨绸缪”,眼光看远一点!
总的来说,光伏发电约是中国火力发电(0.33元/度电)成本的3倍。如果未来的火力发电厂将征收“碳”排放费,按欧盟现有“碳”贸易价格,或按法国即将开征的“碳”排放税,每度电发电成本还将增加0.22元。而随着“碳”资源税的开征,市场需求的旺盛,火力发电成本还将不断上升。很可能,在不远的将来,光伏发电成本仅略高于火力发电,是火力发电成本的1.5~2倍。我国现就有不少“缺电”或电价十分高昂的地区。有些地区因地处穷乡僻壤,或没有电网供电,或电网供电能力有限;有些地区的公路、高速公路远离电网,但又需要有路灯照明;有些地区因煤价、油价甚高,因而发电成本极高;有些地区因白天、夜晚用电量悬殊,其峰谷比可高达3.3∶1,其峰电电价甚而高达1.2元~1.6元/度电;有些地区气候过分炎热,夏季空调用电猛增。各城市都存在一些“奢侈”性用电项目。应出台政策规定这些“奢侈”项目,必须应用崭窠细叩奶阳能发电。所以,太阳能光伏发电有经济效益的市场并不小。
太阳能的资源总量远胜于风能总量。在960万平方公里的祖国大地上,年接收的太阳能高达17000亿吨兆济海是我国当前年消费的一次能源的600倍。太阳能在单位面积所产生的电能也10倍于风能。太阳能所固有的昼夜供电、供能间隙性也比风能小得多,其发电高峰期也就是用电高峰期。而发电成本,在不远的将来,就将下降到和风能持平,甚而远低于风能发电的成本。所以,人类的未来,必定是太阳能时代。
将上述各种“大力”发展水能、风能、太阳能发电的措施“加”起来,有可能再减排3亿~4亿吨标准煤;从而将量达4亿~10亿吨的碳排放的缺额,减少到仅需再设法弥补1亿~7亿吨的碳排放的缺额。由于上述在10年内“生效”的各种“核能+水能+风能+太阳能”的发电能力,几乎已“面临极限”。这就迫使我们必须转变思路,不是用“发电”来实现“减排”,而是转到用“供热”来实现减排,也就是必须大力发展太阳能供热。
一个亟待开拓的领域,大规模利用废热供热,太阳能供热和太阳能联合供电、供热
我国人均CO2排放量已略高于世界人均排放量;但我国人均用能、人均用电,都远低于世界人均用能、人均用电。原因在于我国是用煤供热,用煤发电。一个亟待开拓的领域是:大规模利用废热供热,太阳能供热和太阳能联合供电、供热。
正如中科院工程热物理所已故所长吴仲华院士所指出,热能利用领域里的大浪费,是高品位的“热”移作低品位的“用”,煤可以炼钢、可以发电,但却用作22℃~26℃的室温供R。解决这一“大浪费”的重要途径是大量利用废热供热,大量利用太阳能供热。但是,热能的输运,尤其是长距离的热能输运,是尚未解决的世界性难题。我支持大力发展廉价的适用于不同温度范围的,被称为“超导”传热的“热管”技术,但也要看到这类技术在输运距离上的局限性。我R支持大力发展利用废热的另一途径——低温发电技术,但最多只能到卡诺循环所赋予的热力学效率,投资效益比不可能很高。据2010年1月5日《人民日报》报道,东北电网火电机组“有40%的火电机组供热,供热机组比例全国最高”。我们当然赞成充分利用火电机组的余热供热,问题是用热单位距供热单位有多远?
为进一步实现单位GDP“碳”排放减少40%~45%,尤其是减排45%(因为这需要进一步减少7亿吨的“碳”排放),就必须大力发展太阳能供热,用太阳裙┤热〈煤供热。
在CO2减排的问题上,用太阳能供热取代煤供热,比起用太阳能发电取代煤发电有更高的CO2减排效率。当前光伏发电的转化率一般约是18%,在计算每度电等价的“碳”减排量时,用的是通常火力发电约36%的热电转化率,折合成每度电可减排0.36公斤的标准煤。但如果是用太阳能供热来取代煤供热,其“不计及热损失”的“相同装置”的集光量将等于集热量,在折算成碳减排时,是光伏发电减排量的2倍,亦即有36%/18%=2,或者说,发展太阳能供热能更有效地实现碳减排。
但是,近15~20年来,太阳能供热技术并没有什么重要进展,太阳能供热成本一直居高不下。中国在太阳能供热方面有一个小小的成就,这就是清华大学教授殷志强研究和发展的“太阳能选择性吸收涂层”,大幅度提高了太阳能吸收率,显著地降低了热发射率,从而大幅度降低了太阳能热水器的供热成本。目前我国太阳能热水器的保有量已发展到约1.1亿平方米,每一台热水器平均占屋面2.2平方米,以15年寿命估计的每台热水器枪┯Φ娜人,等价于节约0.3吨标准煤,1.1亿平方米的保有量,相当于年节约1500万吨标准煤。当前我国每千人仅拥有85平方米的面积,欧洲的发达国家已高达每千人700~900平方米的面积。如果发展到5.5亿平方米,将年节约0.75亿吨标准煤。如果发展到11亿平方米,将年节约1.5亿吨标准煤。
为什么我国每千人拥有集热面积仅为发达国家的1/10?重要原因是:我国研制的热水器仅能供应50℃~70℃的热水,其供热价格相对于居民可承受的消费水准仍嫌较高。我国生产的太阳能热水器在屋顶出口的供热价格约为0.25元/度热,由“屋顶”输运到“室内”,其热量损失率可达40%以上,实际上的供热价格上升到0.40元/度热,而上海市居民用电为0.60元/度电。冬季的热损失尤为严重。如果要解决冬季供暖,夏季供冷,就要求太阳能集热器产生120℃~180℃的热能。工农业更需要高达150℃~450℃的水蒸气。
当前急需出台支持研发中温太阳能供热技术,太阳能供热和建筑交通用能、工农业用能一体化的激励政策,大幅度用太阳能供热取代建筑、交通、工业、农业里的煤供热。
随着我国工业化的进展,广大农村和边远地区将出现大幅度增加人均用能的超强需求。现有农用供煤,远不能满足即将到的超强需要。其唯一最佳解决这一问题的方案,是大力发展分布式供能、供电。这就需要大力发展太阳能、风能、小水电、生物质能,“四位一体”的综合供能、供电技术,同时也就大幅度实现碳减排。由于这涉及“多种”供能技术的综合,不是某一“狭隘”的技术专家所能胜任的,需要取特殊措施,才能有效地推进这一重大的待开拓的能源新领域。
现已有呼声呼吁大力发展分布式能源系统,理由是其一次能源利用率可高达60%~80%。问题是呼吁者却主张用天然气或煤来解决分布式能源的供应!如果分布式能源系统所需供能要由远方输运到广大农村和边远地区,这一分布式能源,其运费将占成本的大部分,还能有什么优越性?
没旖崧鄣慕崧
在给出上述测算的数字后,这里只能给出一个“没有”结论的“结论”,只能给出一个测算数字的简表。(见表三)
必须看到,我国做到“2020年中国非化石能源将占一次能源的15%”,做到“2020年,中国单位GDP的CO2排放量比2005年下降40%~45%”,是一个非常艰巨的任务!这一任务能否如期“实现”,将取决于中国政府选择什么样的发展模式,采取什么样的政策,包括经济政策、能源政策、教育政策、科技发展政策等。
从我们来看,中国应在2020年以前,尽可能高速大幅度增加一次能源的消费量,力高速、大幅度增加中国的“人均用能”(注:我国人均用能现还不到世界人均用能的平均值),到了2020年后,未来中国恐将不得不走向CO2的绝对量的减排,那时将有足够的“余量”应对来自国际社会要求绝对量减排的强大的压力!
(感谢中科院院士工作局牛强同志提供有价值的数据和协助进行的计算)


